本土+5全居隔陰轉陽 境外移入+39
20220222新增個案地圖
【新唐人亞太台 2022 年 02 月 22 日訊】中央流行疫情指揮中心今(22)日公布,國內新增44例COVID-19確定病例,分別為5例本土個案及39例境外移入,其中9例為航班落地採檢陽性;另確診個案無新增死亡。
今日新增本土5個案為3例男性、2例女性,年齡介於10多歲至30多歲。個案均為隔離期間陰轉陽,其中有4例新北市個案與宗教群聚吃飯唱歌有關;1例為高雄煉油廠和紅茶牛奶店群聚有關,案19732鋼鐵工程師友人案19862的太太,案19949和案20164的媽媽。
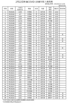
今日新增境外移入個案為24例男性、15例女性,年齡介於10多歲至70多歲,分別自美國及菲律賓(各6例)、香港(4例)、越南(3例)、荷蘭及泰國(各2例)、柬埔寨、奈及利亞、土耳其、巴西、孟加拉、中國、印尼、德國、日本、韓國、英國及加拿大(各1例)移入;另4例調查中。入境日介於去(2021)年12月20日至今(2022)年2月21日。
指揮中心統計,截至目前國內累計6,192,221例中共病毒肺炎相關通報(含6,146,253例排除),其中20,100例確診,分別為4,654例境外移入,15,392例本土病例,36例敦睦艦隊、3例航空器感染、1例不明及14例調查中;無新增空號病例,累計134例移除為空號。2020年起累計852例COVID-19死亡病例,其中839例本土,個案居住縣市分布為新北市413例、臺北市322例、基隆市29例、桃園市28例、彰化縣15例、新竹縣13例、臺中市5例、苗栗縣3例、宜蘭縣及花蓮縣各2例,新竹市、南投縣、雲林縣、臺南市、高雄市、屏東縣及臺東縣各1例;另13例為境外移入。
指揮中心再次呼籲,民眾應落實手部衛生、咳嗽禮節及佩戴口罩等個人防護措施,減少不必要移動、活動或集會,避免出入人多擁擠的場所,或高感染傳播風險場域,並主動積極配合各項防疫措施,共同嚴守社區防線。
新唐人亞太電視 許娟 整理報導 / 責任編輯 陳思齊
相關新聞
-
本土+15 桃園9例最多 境外移入+33 美國最多
2022-01-29 15:09:03今(29)日中央流行疫情指揮中心公布,國內新增15例本土個案及33例境外移入;另確診個案中無新增死亡。
-
+37例本土 11例陰轉陽 26例不明感染源 46例境外移入
2022-02-10 15:03:47今(10)日中央流行疫情指揮中心公布,國內新增83例COVID-19確定病例,分別為37例本土個案及46例境外移入,15例為航班落地採檢陽性;另確診個案中無新增死亡。
-
本土+5、境外+40 首見Omicron個案死亡
2022-02-16 14:39:32中央流行疫情指揮中心今(15)日公布國內新增45例COVID-19確定病例,分別為5例本土個案及40例境外移入,其中13例為航班落地採檢陽性;另確診個案中新增1例死亡。
-
本土+27 有9例是居隔轉陽性 境外+44
2022-01-28 15:54:56今(1/28)中央流行疫情指揮中心宣布,今增27例本土個案及44例境外移入;另確診個案中無新增死亡。
-
+14例本土 7例居隔陰轉陽 53例境外移入
2022-02-16 14:37:09中央流行疫情指揮中心今(16)日公布,國內新增67例COVID-19確定病例,分別為14例本土個案及53例境外移入(16例為航班落地採檢陽性);另確診個案無新增死亡。
-
+16例本土 15例同一傳播鏈 +51例境外移入
2022-02-18 14:35:58今(18)日中央流行疫情指揮中心公布,國內新增67例COVID-19確定病例,分別為16例本土個案及51例境外移入(16例為航班落地採檢陽性);另確診個案無新增死亡。
-
本土+2皆居隔期滿陰轉陽 境外移入47例
2022-02-07 14:53:49今(7)日中央流行疫情指揮中心公布,國內新增2例本土個案及47例境外移入,28例為航班落地採檢陽性;另確診個案中無新增死亡。
-
+10例本土有5例陰轉陽 高雄一家4例未知感染源
2022-02-09 15:21:22中央流行疫情指揮中心今(9)日公布國內新增54例COVID-19確定病例,分別為10例本土個案及44例境外移入(25例為航班落地採檢陽性);另確診個案中無新增死亡。
-
+本土21例 境外移入43例 指揮中心:過年民眾落實防疫
2022-01-27 15:33:06今(27)日中央流行疫情指揮中心公布,國內新增21例本土個案及43例境外移入;另確診個案中無新增死亡。
-
+26例本土 22例居隔期滿陰轉陽 境外移入+22例
2022-02-08 15:37:38中央流行疫情指揮中心今天(8日)公布,國內新增48例COVID-19確定病例,分別為26例本土個案(22例居隔陰轉陽)及22例境外移入(9例為航班落地採檢陽性);另確診個案中無新增死亡。
-
本土+5 境外移入+66 陳時中:香港疫情怵目驚心
2022-03-03 16:25:34中央流行疫情指揮中心今(3)日公布,國內新增71例COVID-19確定病例,分別為5例本土個案及66例境外移入,其中28例為航班落地採檢陽性;另確診個案無新增死亡。
-
+4例本土 高雄新增不明感染源 +境外移入50例
2022-02-14 15:02:36中央流行疫情指揮中心今(14)日公布,國內新增54例COVID-19確定病例,分別為4例本土個案及50例境外移入(27例為航班落地採檢陽性);另確診個案中無新增死亡。
-
+16例本土 37例境外移入 25例落地採檢陽性
2022-02-03 00:29:44今(2)日中央流行疫情指揮中心公布,國內新增16例本土個案及37例境外移入,25例為航班落地採檢陽性;另確診個案中無新增死亡。
-
初三本土+22例!中國返台過年1家4口確診
2022-02-04 22:19:14中央流行疫情指揮中心今(3)日公布國內新增56例COVID-19確定病例,分別為22例本土個案及34例境外移入(10例為航班落地採檢陽性);另確診個案中無新增死亡。
-
+16例本土 44例境外移入 7例落地採檢陽性
2022-02-01 15:05:48今(1)日中央流行疫情指揮中心公布,國內新增16例本土個案及44例境外移入,其中7例為航班落地採檢陽性;另確診個案中無新增死亡。
-
本土+382 金門2例陰轉陽 境外+149
2022-04-07 14:46:21中央流行疫情指揮中心今(7)日公布,國內新增531例COVID-19確定病例,分別為382例本土個案及149例境外移入,其中78例為航班落地採檢陽性;另確診個案無新增死亡。
-
台本土+216今年首破200 新北91、基隆33
2022-04-05 14:31:22中央流行疫情指揮中心今(5)日公布,國內新增281例COVID-19確定病例,分別為216例本土個案及65例境外移入,其中28例為航班落地採檢陽性;另確診個案無新增死亡。
-
本土+281 全台17縣市確診 境外+78
2022-04-06 15:03:09中央流行疫情指揮中心今(6)日公布,國內新增359例COVID-19確定病例,分別為281例本土個案及78例境外移入,其中27例為航班落地採檢陽性;另確診個案無新增死亡。
-
台本土+133 境外+142 雙北、桃園確診數多
2022-04-04 14:52:39中央流行疫情指揮中心今(4)日公布,國內新增275例COVID-19確定病例,分別為133例本土個案及142例境外移入,其中68例為航班落地採檢陽性;另確診個案無新增死亡。
-
本土+384 新北確診持續增加 境外+123
2022-04-08 14:47:46中央流行疫情指揮中心今(8)日公布國內新增507例COVID-19確定病例,分別為384例本土個案及123例境外移入,其中69例為航班落地採檢陽性;另確診個案無新增死亡。










